热门关键词: 广州能源所 百度
当前位置:首页 - 综合技术

染料敏化太阳电池光利用的研究

文章来源:中国新能源网 | 发布日期:2010-06-13 | 作者:未知 | 点击次数:

王海1,2,许红梅1,刘勇1*,沈辉1  (1中山大学物理科学与工程技术学院太阳能系统研究所,广东广州510006;2桂林工学院材料与化学工程系,广西桂林 541004)

  摘 要:本文对传统三明治结构染料敏化太阳电池在光利用方面作了简要的论述,重点探讨了作为染料敏化太阳电池光阳极材料的TiO2薄膜和染料分子在光利用方面的特点。此外,对一些新型结构的染料敏化太阳电池在光利用方面的特点也作了简要描述。

E-mail:liuyong7@mail.sysu.edu.cn

关键词:染料敏化,太阳电池,光利用

1. 前言

  染料敏化太阳电池(DSSC)是最近20年来,基于纳米技术发展起来的一种新型太阳电池,与传统硅电池相比,因其成本低,效率高而逐渐受到许多研究者的青睐(图1是该电池的结构示意图)。传统DSSC主要由透明导电玻璃、多孔二氧化钛薄膜、染料敏化剂、电解质溶液(或固态电解质)、对电极等组成。目前对染料敏化太阳电池的研究主要集中在TiO2薄膜材料,电解液的开发,染料分子的设计。如何提高光的利用率,从而提高DSSC的光电转换效率一直是这一领域的研究热点。

图1 染料敏化太阳电池结构示意图
Fig.1 Structure of dye-sensitized solar cell

1. 传统DSSC对光的利用

2.1导电玻璃对光的利用

  由于传统DSSC采用的三明治结构要求光阳极衬底必须具有透光性,因此透明导电玻璃(transparent conductive oxide,简称TCO)成为传统DSSC衬底的最佳选择,这也是目前研究者所普遍采用的。它是在玻璃表面附着一层包括In、Sb、Zn和Cd的氧化物及其多元复合氧化物薄膜材料而构成的。透明导电薄膜以掺锡氧化铟(In2O3:Sn,简称ITO)和掺氟的氧化锡(SnO2:F,简称FTO)为代表。导电膜的研究与应用较为广泛、成熟,在美、日等国已实现产业化生产。ITO经高温热处理后,面阻会呈数量级增大,而FTO在此温度热处理后性质仍然稳定,因此FTO常作为传统DSSC中TiO2薄膜的基体材料。图2所示为SOLARONIX公司三种不同FTO的紫外-可见光透过率曲线,从图中可以看出,导电玻璃在可见光范围内的最高透过率为90%左右,有一部分太阳光没有被利用,在远红外波段FTO的透过率在80%以下。选取TCO导电玻璃时,需将电阻与透过率综合考虑,一般导电率越大,透过率越小,反之亦然。追求低电阻和高的光透过率是今后TCO研究中的一个重要方向[1]

图2 不同玻璃基体材料的FTO紫外-可见光透过率[2]
Fig. 2 UV-VIS transmission spectra FTO coatings on various glasses substrates[NextPage]

2.1染料敏化剂对光的利用

  由导电玻璃透过的太阳光将被染料吸收,目前公认的较好的光敏染料为钌的联吡啶络合物,其基本化学式为ML2(X)2,其中M代表钌,L代表4,4'-二羧基-2,2'-联吡啶,X代表卤素、氰基、硫氰酸根、乙酰丙酮、硫代氨基甲酸、水等。在这一系列染料中,以N3(红染料)和N719性能最优,应用最广。N3的最大吸收峰在518nm和380nm,对应摩尔消光系数分别为1.3×104 L·mol-1·cm-1和1.33×104 L·mol-1·cm-1。但N3和N719对600nm以上的光谱响应较差,吸收光谱范围与太阳光谱不能很好匹配,因此不能有效利用这部分太阳光。2001年Grätzel等[3]合成了被称为“黑染料”的光敏剂,其结构式为RuL3(SCN)3 (L=三联吡啶三羧酸盐)。图3列出了N3和黑染料的分子结构图。

图3 N3和黑染料分子结构图
Fig.3 Molecular structures of N3 and black dye

图4分别给出了N3和黑染料的吸收光谱及光吸收效率,两种光敏染料在可见光波段都具有较高的光吸收,N3的长波吸收能力较差,而在920nm处黑染料仍具有光谱响应,其吸收光谱相对N3红移了大约100nm。据报道用它作为敏化剂的电池在AM1.5太阳光照射下总的光电转换效率达到10.4%[4]

设计合成性能更加优良的光敏染料体系,进一步提高长波范围的光吸收仍是人们的主要研究方向之一。Kubo等[5]用N719和黑染料制备了叠层结构的染料敏化太阳电池,由于黑染料在近红外具有很好的光吸收性能,可以吸收阈值达1000 nm以内的太阳光,弥补了N719染料在长波范围吸光能力差的缺点,可以提高了电池的光谱响应范围和光电转换效率,结果表明叠层结构的电池比单独用N719或黑染料的电池的光电流提高了20%。

图4 N3和黑染料的吸收光谱及光吸收效率
Fig.4 Absorption spectra of N3 dye and black dye represented by absorbance and light-harvesting efficiency

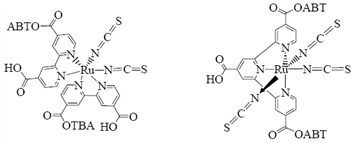
图5[6] 新的光敏化剂Ru(dcphen)2(NCS)2和Ru(dcbiq)2(NCS)2的分子结构式及其无水乙醇溶液中的吸收性能
Fig.5 Molecular structure of new netal complex photosensitizes, Ru(dcphen)2(NCS)2 and Ru(dcbiq)2(NCS)2, and their absorption properties in ethanolic solution

开发对近红外,红外波段吸收的染料,也是染料研究的一个重点。图5列出了两种新的光敏化剂Ru(dcphen)2(NCS)2和Ru(dcbiq)2(NCS)2的分子结构式及其与N3的吸收性能比较。Ru(dcphen)2(NCS)2的最大吸收峰在520nm,与N3相近,据报道利用这种染料敏化的DSSC效率达6.1%~6.6%。Ru(dcbiq)2(NCS)2对大于600nm波长范围的吸收更具优势。N3染料的主要缺陷在于长波长无吸收。增大染料在近红外的吸收,同时保持短波长的光电转换效率不变,有利于提高整个太阳能电池的总效率。近年来,以Z907为代表的两亲型染料和以K19为代表的具有高吸光系数的染料敏化剂是当前多吡啶钌类染料研究的热点。[NextPage]

2.1多孔薄膜对光的利用

2.3.1纳米晶TiO2颗粒尺寸对光利用研究

  氧化物半导体的光化学稳定性好,是用于DSSC光阳极的宽带隙半导体材料。自Grätzel成功将纳米晶多孔薄膜引入到DSSC中,电池性能得以大幅度提高。构成TiO2薄膜的颗粒大小在10-30nm之间,颗粒间的多孔结构极大地增加了薄膜的比表面积。TiO2薄膜的粗糙因子(roughness factor)大于1000,相当于面积为1 cm2的薄膜(以厚度为10μm为例),它实际的表面积达到1000cm2。考虑到纳米多孔TiO2具有高的粗糙因子,而且染料以单层吸附到TiO2颗粒的表面,所以,被吸附的染料数量大量增加(10-7molcm-2),从而导致染料在吸收峰的波长接近100 %的吸收光,增加了光的利用效率。

一般说来TiO2薄膜中含有TiO2大颗粒(250-300nm),它们能有效散射入射光子,太阳光在粗糙表面内多次反射,进一步提高光吸收效率[6]。孔隙率的多少直接影响了薄膜的性能,一般来说,孔隙率控制在60-70%间是比较合适的。图6是典型的TiO2薄膜的扫描电镜图片,其中包含了大小不等的颗粒,薄膜形成了多孔结构。

图6 典型的TiO2薄膜的扫描电镜图片
Fig.6 Scanning electron microscope photograph of a typical nanocrystalline TiO2 film

利用散射光对提高光的收集效率,对于进一步提高染料敏化电池的光电转换效率具有积极的作用。关于这方面的研究已经有人做了详细的讨论。光在TiO2薄膜内的散射作用,可以增加入射光的入射长度,提高染料对光的吸收。通常,在制备TiO2浆料过程中,添加大颗粒的TiO2可以达到此效果。模拟计算表明,一般20nm的TiO2颗粒和作为散射中心的250-300nm大颗粒混合,可以起到增加太阳光的吸收的作用。实际上,与TiO2透明薄膜相比,大小颗粒的搭配可以提高光电流。这种工艺可以使得TiO2薄膜在低能区(如650-900nm)光谱相应提高明显。

2.3.1纳米晶TiO2薄膜厚度对光利用的影响

  提高膜厚可以增加对光的吸收,但研究表明,薄膜厚度太大会影响电解液中的离子在薄膜中传输。为解决这一问题[7],可以通过在光阳极上增加一层约几百纳米的大颗粒氧化物薄膜作为光散射结构或在薄膜中掺入少量的大颗粒TiO2来增加光的传播路径,增加电池在长波范围(600-800nm之间)的光吸收。但背反射层厚度过大会阻碍电解液在纳米多孔薄膜中的转输, 光电转换效率会降低。Nazeeruddin等[8]证实可以通过在以锐态矿为主的光阳极上用ZrO2充当粘接剂,粘接一层多孔绝缘的金红石型的TiO2。因为金红石晶型的TiO2在所有的白颜料中具有最高的折射率和反射率,可以将透过光阳极的光漫反射回光阳极,显著提高光的吸收,研究表明入射单色光在700 nm处光电转换效率提高了2倍。Ferber等[9]研究了在多孔膜中掺入少量的大颗粒TiO2,从而增加可见光在薄膜内的反射次数, 减少可见光被反射或透过薄膜,结果表明,一定量的掺杂会提高电池的光电转换效率,但大颗粒过量将影响染料的吸附量和薄膜的特性,电池效率会降低。

2.1其它组成对光的利用

2.4.1电解液

  有日本学者通过改变电解液的浓度来增加光的透过率,但是具有一定浓度的电解液虽然可以提高光的透过率,但是对光电流的研究却没有给出结果。

2.4.2铂镜

  Nazeeruddin等[10]研究表明在导电玻璃上溅射一层2μm厚的铂膜,则对电极具有一定的光反射作用。但Hauch等[11]研究认为铂是贵金属,要在满足催化条件下尽可能地少用(用量小于0.1g/m2,相当于5nm厚的额度)。Fang等[12]研究了10 nm至415 nm范围内的铂膜对电池效率的影响,结果表明10 nm厚的铂膜就可以获得高的光电转换效率,继续增加铂膜的厚度对电池的效率并没有明显的影响。[NextPage]

2.其它新型结构DSSC光利用的研究

3.1二次利用光的DSSC

  在对新结构的DSSC的光利用方面,特别是光利用对DSSC效率方面的研究还从未见有文献报道,中山大学太阳能系统研究所刘勇等设计了一种提高染料敏化太阳电池光吸收的背反射结构[13],通过增加一层反光膜以达到二次利用光的目的。常用的金属反光膜有铝膜、银膜、金膜、铜膜、铑膜和铬膜等,在可见光范围,银膜具有最好的反射特性。

图7 二次利用光的染料敏化太阳电池的改进结构
Fig.7 The improved structure of dye-sensitized solar cells for enhancing light absorption

新的可二次利用光的DSSC的结构示意图如图7所示,即在传统三明治式DSSC电池结构基础上,在镀铂的透明导电玻璃的背面附上一层银反光膜,作为背反射结构。通过银反光膜把从光阳极透过的没有被充分利用的光再次反射回光阳极,已达到二次利用光的目的。对光的反射进一步增加了光在电池光阳极中的传播路径,增加其对光的吸收,从而提高太阳电池的光电转换效率。

图8 银反光膜的反射光谱
Fig.8 Reflectance spectra of the silver reflection film

  图8是加在DSSC电池对电极背面的美国3M公司生产的银反光膜的反射光谱, 其在400-800nm之间的平均镜反射率是83.6%, 而包括漫反射的全反射率平均是94.6%, 具有较好的反光特性。

图9  DSSC电池与提高光吸收结构效率对比图
Fig.9 Comparison of photoelectric conversion efficiency of DSSC and that for enhancing light absorption

图9是P25粉制备的DSSC电池与加反光膜提高光吸收后的光电转换效率对比图。可以看出,加反光膜后短路电流明显提高,开路电压略有增加,填充因子基本没有改变,加反光膜后电池的效率相对于传统结构电池的提高了11.4%[13-16]

这种改进结构没有将背反射结构加在染料敏化太阳电池的内部。因为在电池内部光阳极的背面加背反射结构会阻碍电解液的传输。而在对电极用金属薄膜作背反射结构,由于电解液对一般金属都具有强烈的腐蚀作用,在电池的长期运行中,金属薄膜会被腐蚀掉而失去背反射的作用。同时,金属与电解液反应的杂质也可能影响电池的性能。由于对电极是镀铂的透明导电玻璃,纳米级铂膜对透明导电玻璃的透过率影响很小,因此将具有很好的反射率的银反光膜加在电池的背面是一种理想的结构。

染料敏化太阳电池由于弱光性能好,与非晶硅太阳电池一样是室内的主要应用产品,不只是应用在窗户上(需要一定的光透过率),还可以应用在太阳能钟表、超市架上的显示标签和计算器上等,而这些应用对象并不需要电池透明,所以这种新的改进结构,在提高电池效率的同时,仍有较多的应用场合。

3.1立体吸光结构的DSSC[17~19]

图10 立体吸光太阳电池结构示意图
Fig.10 Schematic of a solar cell for capturing sunlight from 3-dimensional space

  图10是立体吸光电池结构和原理示意图,在螺旋状的钛金属丝的表面镀一层纳米晶TiO2 薄膜并吸附染料作为光阳极,镀铂的钛金属直丝作为对电极放在螺旋状光阳极的内孔中心,装在透明玻璃管内并充入电解液封装成电池。这种结构的特点是:螺旋丝状光阳极使其可以从各个角度吸收阳光,对太阳方位角和光阴影不敏感,具有被动式跟踪阳光的优点,并增大了吸收散射光的面积,通过螺旋状光阳极伸向空间增加对空间的有效吸光面积,而实际安装时只占用圆柱体电池的底面积,从而提高单位底面积上太阳电池的输出功率,节省太阳电池的占地面积。[NextPage]

图11 入射角度对短路电流的影响(测试时间:2005年9月23日正午)
Fig.11 Effects of incident angle on the short-circuit current

将立体太阳电池朝南与水平面呈不同角度摆放检测到的短路电流如图11所示。 由图中可以看出电池短路电流对不同角度的摆放不敏感,但在120º和300º角时短路电流值最低,这主要与螺旋状光阳极的结构有关。广州9月23日正午时太阳的高度角为66.73º,立体吸光电池光阳极的圆柱面在120º和300º角时与太阳的直接辐射光接近平行,此时对于直射来的太阳光利用较少。立体吸光电池与平面结构的明显区别是其在180º角以后仍然可以工作,而平面电池由于单面吸光在这个角度范围内无法利用阳光工作。

1.结论

  新型结构染料敏化太阳电池在光的利用方面相比传统三明治结构染料敏化太阳电池具有独特的优势。通过设计一些新型的染料敏化太阳电池,可以为今后染料敏化太阳电池提高效率提供一些新的思路。

本论文得到国家自然科学基金(批准号:50702079 ) 资助。

参考文献

1、US Patent 5923457 - Electro-optic device including a low sheet resistance, high transmission transparent electrode 

April 2008 Vol. 24, No. 04  Display Week Preview / Honors and Awards Issue

2、http://www.solaronix.ch/services/tcocoating/tco_spectra.gif

3、Molecular and electronic structures of black dye; an efficient sensitizing dye for nanocrystalline TiO2 solar cells, Journal of Molecular Structure,2003,658:25-32.

4、Engineering of efficient panchromatic sensitisers for nanocrystalline TiO2 based solar cells. J.Am.Chem. Soc,2001,123:1613–1624.

5、Dye-sensitized solar cells: improvement of spectral response by tandem structure.Journal of Photochemistry and Photobiology A:Chemistry,2004,164:33-39.

6、Handbook of Photovoltaic Science and Engineering. Edited by A. Luque and Hegedus. 2003 John Wiley & Sons, Ltd

7、Low cost Photovoltaic modules based on dye sensitized nanocrystalline titanium dioxide and carbon powder.Solar Energy Materials and Solar Cells,1996,44:99-117.

8、A swift dye uptake procedure for dye sensitized solar cells.CHEM.COMMUN,2003,12:1456-1457.

9、Computer simulations of light scattering and absorption in dye-sensitized solar cells.Solar Energy Materials and Solar Cells,1998,54:265-275.

10、Conversion of Light to Electricity by cis-X2bis (2,2'-bipyridyl-4,4'-dicarboxylate) ruthenium(II) Charge-Transfer Sensitizers (X=Cl, Br, I, CN, and SCN) on Nanocrystalline TiO2  Electrodes.    J Am Chem Soc,1993,115(14):6382-6390.

11、Diffusion in the electrolyte and charge-transfer reaction at the platinum electrode in dye-sensitized solar cells.Electrochimica Acta,2001,46:3457-3466.

12、Performances characteristics of dye-sensitized solar cells based on counter electrodes with Pt films of different thickness. Journal of Photochemistry and Photobiology A:Chemistry,2004,164: 179–182.

13、一种提高染料敏化太阳电池光吸收的结构的初步研究,功能材料2006,37(10):1584-1586

14、用背反射提高染料敏化太阳电池光吸收的研究,中山大学学报, 2006,45(2),25-28

15、一种新的二次利用光的染料敏化太阳电池改进结构,科学通报,2006, 51(2), 230-234

16、A new improved structure of dye-sensitized solar cells with reflection film, Chinese Science Bulletin,2006, 51(3), 369-373

17、一种螺旋丝状集成的立体吸光太阳电池,中国科学E辑, 2007,37(3):1-10

18、Study on the new structure of dye-sensitized solar cells for receiving sunlight from 3-dimensional space, ISES Solar World Congress 2007, 2007,1357-1360

19、A novel solar cell fabricated with spiral photo-electrode for capturing sunlight 3-dimensionally,Science in China Series E, 2006,4 63-673

--摘自《中国新能源》杂志1、2月合刊

分享到:
相关文章
中国新能源网版权及免责声明:
1、凡本网注明"来源:中国新能源网" 的所有作品,版权均属于中国新能源网,未经本网授权,任何单位及个人不得转载、摘编或以其它方式使用上述作品。已经本网授权使用作品的,应在授权范围内使用,并注明"来源:中国新能 源网"。违反上述声明者,本网将追究其相关法律责任。
2、凡本网注明 "来源:XXX(非中国新能源网)" 的作品,均转载自其它媒体,转载目的在于传递更多信息,并不代表本网赞同其观点和对其真实性负责。
综合动态 更多