热门关键词: 广州能源所 百度
当前位置:首页 - 生物质能 - 生物质发电

煤与生物质(稻秸秆)共热解反应及动力学分析

文章来源:中国新能源网 | 发布日期:2010-05-08 | 作者:未知 | 点击次数:

     摘    要:本文利用综合热分析仪,对煤(褐煤、无烟煤)与稻秸秆按不同比例混合及各自单独热解反应进行了热解实验。结果表明,生物质与煤的热解过程可简化看作是在较低温度段(400℃以下)热解以生物质为主;在高温段(600℃~850℃)热解以煤为主。生物质对煤的热解过程有促进作用,随着生物质参混比例的上升,使煤的热解高峰区的温度向低温区移动。但是促进程度是随着生物质的量的增加而减小的,并且对褐煤的促进作用要比对无烟煤的作用明显。在动力学分析中,发现褐煤和生物质单独热解过程在整个热解温度范围内可用coats-Redfern法按反应级数n=1的过程来计算出热力学参数;但是两者混合后的热解过程,由于反应机理及过程发生了变化,并不能用简单的热解动力学模型来描述;最后,对无烟煤与稻秸秆(质量比例3:2)的混合物按升温速率分别为10℃/min和20℃/min的热解过程作了对比试验,总结出升温速率对热解反应的影响。

关 键 词:煤与生物质 稻秸秆 热重分析 动力学参数

中图分类号:TK6

一 引言 

    生物质是人类利用最早、最多、最直接的能源,同时也是低碳燃料和唯一可运输及储存的可再生能源,可实现CO2的零排放。我国生物质储量丰富,因此生物质能的开放和利用有着重大意义[1]。同时我国煤炭资源丰富,在今后很长一段时间内对煤炭的依赖性还很大。生物质与煤混合燃烧发电和热解转化技术是高效洁净合理利用我国两大优势能源的有效途径之一,不但可降低CO2、NOX 、SOX的排放量,而且可以有效解决生物质单独使用时的焦油问题。

    对于煤与生物质共热解的问题,国内外的学者作了不同结论的实验研究。对于其协同性问题,存在两个对立的观点。Chatphol.M[2]、Collot.A.G[3]等人,各自在实验中得到无协同作用的结论;而Nikkhah.K[4]、McGee.B[5]等人则在共热解试验中得出有协同性的结论。阎维平[6]用生物质混合物与褐煤的共热解试验证明生物质粉末对煤的热解有一定的促进和抑制的作用,两者间有协同性存在;而李文[7]、李世光[8]等人则通过试验说明两者无明显的协同作用。虽然各国学者对煤与生物质的共热解,做了很多实验研究,但是对反应机理和有无协同性等问题并未作出结论。
    由于煤的种类众多,生物质与煤共热解的特性与煤的种类也应该有关,且还没学者对共热解过程进行深入的动力学分析,因此,本实验选用稻秸秆作为生物质试样,与褐煤及无烟煤分别进行了共热解的实验研究,寻求共热解的影响因素并进行了动力学分析。

二 实验部分

1  实验样品

   实验所考察的稻秸秆来自常州地区的稻子,褐煤选自云南富源煤矿,无烟煤来自山西长治的潞安矿。三者粒径均在20目到60目之间,将物料干燥后制成不同比例的试样,以备热重实验使用。表1为三种物料的工业分析参数;

名称

Mad

Aad

Vad

Fcad

稻秸杆

18.16

15.97

53.52

11.85

褐煤

14.16

24.63

10.32

50.89

无烟煤

0.84

6.27

14.50

78.39

表1   试样的工业分析
Table 1  Industrial  analysis  of  test  samples 

2  实验方法及仪器

   采用德国制STA-49综合热分析仪,进行实验。将试样置于热天平支架的坩埚内,通入足量纯氮气,按规定的升温速率进行升温(10℃/min和一组20℃/min),由计算机控制和采集数据。气体流量为200mg/min,试样用量不超过1.5mg,温度范围由室温到1100℃左右。

三 实验结果与分析

1  生物质(稻秸秆)与煤单独实验结果及分析

   对生物质及煤的热重实验已有很多学者研究过[9-12]。本次实验主要用来作对比试验。


图1 稻秸秆、褐煤和无烟煤热解曲线
Fig.1 The TG 、DTG curves of corn stalk、lignite、hard coal pyrolysis themselves

    图1为三种样品单独热解的TG和DTG曲线。由图可知,稻秸杆在50℃以上由于干燥和水分析出开始明显的失重;在200℃-400℃主要为半纤维素和纤维素吸热分解使失重速率加快且在325℃达到最大,热解后含碳较少;在大于400℃后,主要为木质素的热解,反应速率较低,热解后含碳较多。另外,无烟煤由于水分、挥发分少,最大热解速率小于褐煤且对应的热解区间也比褐煤偏向高温区。两种煤的热解过程中都出现两个热解效率的高峰。第一个峰值,主要是一次气体析出,此时放出含有C、H、O的化合物;第二个峰值主要为二次气体析出造成,主要是甲烷和氢,量比较的小。与生物质相比,两种煤热解所需要的温度较高,其热解总发生在比生物质热解温度高的区域。

2  稻秸秆与两种煤共热解实验结果及分析

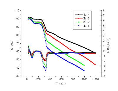
   图2是稻秸秆与煤(褐煤及无烟煤)按不同比例混合后热解曲线。可以看出,所有共热解过程主要包括物料干燥、水分析出段和两个热解高峰区。除去在150℃以前的水分析出和干燥阶段以后,共热解曲线明显呈现两个特征区。在350℃以前是以稻秸秆热解为主,在350℃以后是以煤的热解为主。这是由于生物质稻秸秆与煤的不同的热解温度决定的。[NextPage]


图 2 稻秸秆与煤(褐煤及无烟煤)不同混合比热解TG及DTG曲线
Fig.2  The TG 、DTG curves of corn stalk and coal (lignite or hard coal) pyrolysis in different mass ratios.

质量比例

tv

ts

tmax1/tmax2

v  %

质量比例

tv

ts

tmax1/tmax2

v  %

稻秸杆

184℃

380℃

285.2℃/325.5℃

52.3

 

 

 

 

 

褐煤

430℃

850℃

453.9℃/731.2℃

32.4

无烟煤

470℃

1190℃

531.3℃/692.6℃

23.6

20%稻秸杆与褐煤

175℃

850℃

321.9℃/718.1℃

40.1

20%稻秸杆与无烟煤

175℃

990℃

316℃/516℃

25.5

40%-

170℃

820℃

311.9℃/709℃

56

40%-

180℃

800℃

336℃/523℃

42.4

60%-

170℃

720℃

322.9℃/702.1℃

57.1

60%-

170℃

650℃

324℃/520℃

52.5

80%-

170℃

400℃

324℃/--

63.6

80%-

170℃

321℃

321℃/--

65.5


表2 不同混合比例的稻秸杆和煤(褐煤和无烟煤)的热解参数  
Table.2  Pyrolysis characteristic parameter of corn stalk and coal

(其中tv是热解挥发开始时温度,ts为热解稳定失重时温度,tmax1/tmax2分别为最大失重速率对应的温度,V%为试样中挥发分含量(包括水分)。)

   表2中列出了不同混合比例的稻秸秆与煤(褐煤及无烟煤)的热解参数。由表可以看出,稻秸秆的参入有利于这两种煤的热解向低温段移动。但是随着稻秸秆参混比例的上升,这种促进作用反而下降。归其原因是由于生物质的加入对煤的热解过程同时有促进和抑制两方面的作用[7]:一方面,在生物质热解后的灰中碱金属含量比较高。稻秸秆热解后,灰中K20、N2O、Ca2O含量较高。这些碱金属对煤的热解起到一定的催化作用;其次,稻秸秆中H/C为0.16 ,煤约为0.07。在煤热解过程中,如果氢能够适当地分配给碳原子,则煤中的氢量几乎足以使之全部挥发。但由于煤的结构特点,氢主要以化合水(来源于羟基)和高度稳定的轻质脂肪烃(如甲烷及乙烷)的形式逸出,因而使急需氢的其余碳原子无缘与氢结合。在煤化工中,加氢热解可以提高煤热解转化率,提高焦油产量,改善焦油质量。生物质的H/C比率高,内部氢足以使其完全挥发,氢气气氛对煤的热解影响较大,可以作为煤很好的供氢剂。在生物质混合物与煤共热解过程中,生物质混合物提前热解产生氢,而煤是贫氢物质,在共热解中,生物质中的氢有可能转移到褐煤中,有利于褐煤的热解;另一方面,由于生物质密度仅为褐煤的一半左右,在热解中还会出现软化、变形甚至流动,生物质可能在煤挥发分热解析出之前黏附、覆盖在煤粉颗粒表面,堵塞煤微细孔,阻碍煤的挥发分的逸出和扩散,因而使生物质与煤共热解过程中褐煤挥发分析出温度升高。综合上述两方面原因,当稻秸秆参混比例较低时,对煤热解的促进作用强于抑制作用,使两种煤的最大热解速率所对应的温度降低,使热解向低温区移动;但是随着稻秸秆参混比例的上升,大量的稻秸秆高温颗粒流化覆盖在煤粒表面,这种抑制作用增强,使煤的主要热解区向低温段移动的程度下降,甚至相对于混比较小的情况有所倒退。如稻秸秆生物质与无烟煤比例为2:3时,Tmax2为512℃,而当比例为3:2时,Tmax2反而上升为523℃。

   当稻秸秆参混比例在80%以上时,热解过程几乎跟稻秸秆单独热解过程相同,这是由于稻秸秆的热解发生在煤热解之前,并且煤中碱金属含量非常低,其对生物质的催化作用可以忽略不计。

   另外,从表2中还可知,稻秸秆对煤的热解的促进作用根据煤种的不同,影响情况也不完全相同。在无烟煤和褐煤的对比中,可以看出,随着煤龄的增加,这种促进作用是减弱的。在参混比例为3:2时,稻秸秆使褐煤的第二个热解高峰段提前了28.3℃,而对无烟煤只提前了8.5℃。这可能与煤本身的活性有关,褐煤中挥发分的含量较高,热解温度较低,煤的活性也比较的大,高活性的煤焦有很强的吸附能力,能很好的吸收生物质热解后产生的催化粒子,在生物质中碱金属的催化下,促进效果比无烟煤的情况要好得多。

3  升温速率对混合物热解过程的影响

   升温速率对热解的影响较为复杂。升温速率增加,样品颗粒可以迅速达到热解所需要的温度,这有利于热解。但是升温速率的增加又使得颗粒内外的温差变大,颗粒外层的热解气来不及扩散,有可能影响内部热解的进行。因此,稻秸秆与煤的混合物热解的快慢取决于这两个相反过程的作用的主次关系。[NextPage]


图3 不同升温速率下的无烟煤和稻秸秆共热解曲线
Fig.3 Pyrolysis performance of admixture with hard coal and corn stalk in different heat rate.

   图3为不同升温速 率(10K/min和20K/min)下的无烟煤与稻秸秆按比例3:2参混的混合物的热解曲线。从图中可以看出,升温速率越高,失重曲线向温度高侧移动,即在相同的失重量下,所需要的热解温度也越高。在相同温度下,升温速率越低,热解越充分,余量也越少。在1200℃时,20 K/min的情况下,余量为64%,而10 K/min时,余量为57.6%。

4   热解反应动力学分析

1  稻秸秆与煤(褐煤及无烟煤)单独热解过程动力学分析

    本文对样品热重分析的研究主要集中在失重最为剧烈的阶段,对该阶段分析计算构建热解的表观动力学模型,并用coats-Redfern[11]法来求解动力学参数。模型求解中,转化率、温度和时间可以由试验直接给出,动力学参数具体数据见表3 。

2  稻秸秆与褐煤混合物的动力学分析

    稻秸秆与煤混合热解的过程还不完全清楚,也没有确定的动力学模型,所以很难求出准确的动力学参数。但进行一些近似计算获得相对的比较值,可以加深对共热解过程的了解。以上述的coats-Redfern法,求出稻秸秆与褐煤质量比例为1:4,2:3,3:2,4:1情况下的动力学参数(见表3)。

    在对稻秸秆与褐煤的共热解动力学分析中,发现回归曲线在整个温度范围内并不是成线形变化的。但是在低温段(150℃-350℃)和高温段(850℃-1150℃)内,可以看作在各自温度区间内的一次简单一级反应来看待,并分别求出其温度段的活化能,其值列于表3中。这种现象的原因可能与共热解的反应过程有关,在低温段以稻秸秆的热解为主,在高温段是以煤解为主,而中间温度区间内,由于反应过程复杂,有许多的并行和二次反应产生,使反应不能简单按一级反应模型来模拟。这也说明稻秸秆与煤之间的热解过程有一定的相互影响作用。

   名称

温度范围

相关系数

E (KJ/mol)

A( )

稻秸杆

190℃-380℃

97.70%

7.64

0.824

褐煤

150℃-1000℃

97%

10.23

7.12

无烟煤

150℃-1000℃

91%

23.34

0.72

20%稻秸杆与褐煤

240℃-400℃/850℃-1100℃

92%/98%

5.6/39.6

0.16/27.6

40%稻秸杆与褐煤

240℃-400℃/850℃-1100℃

96%/90%

5.59/25.9

0.18/1.15

60%稻秸杆与褐煤

240℃-400℃/850℃-1100℃

86%/96%

8.86/20.9

1.50/10.43

80%稻秸杆与褐煤

240℃-400℃/850℃-1100℃

87%/97%

8.4/22.12

1.3/1.82


表3 混合物(及单独)热解的动力学参数
Table.3 Kinetics parameters of the admixture  pyrolysis

四 小结
  (1) 稻秸秆和煤(褐煤及无烟煤)共热解过程可分为两个明显的热解高峰区,可简化看作为在较低温度段(400℃以下)热解以生物质为主;在高温段(600℃~850℃)热解以煤为主。稻秸秆对煤的热解过程有促进作用,使煤的热解高峰区的温度向低温区移动。但是促进程度是随着稻秸秆的量的增加而减小的,并且稻秸秆对褐煤的促进作用要比对无烟煤的作用明显。

  (2) 随着升温速率的增大,热滞后现象的加重以及化学反应动力学因素使样品热解的初始温度,失重峰值温度及热解终止温度均向高温侧移动,而且失重略有下降,DTG峰温向高温侧移动。

  (3) 稻秸秆、褐煤及无烟煤的热分解动力学模型符合准一级动力学方程,本实验求得的动力学参数为E(稻秸秆)= 8.4 KJ/mol,E(褐煤)=10.27KJ/mol,E(无烟煤)= 23.34 KJ/mol。但是稻秸秆与煤混合后的热解动力学模型并不符合一级反应,说明两者的参混使反应机理和类型发生了变化。

分享到:
相关文章
中国新能源网版权及免责声明:
1、凡本网注明"来源:中国新能源网" 的所有作品,版权均属于中国新能源网,未经本网授权,任何单位及个人不得转载、摘编或以其它方式使用上述作品。已经本网授权使用作品的,应在授权范围内使用,并注明"来源:中国新能 源网"。违反上述声明者,本网将追究其相关法律责任。
2、凡本网注明 "来源:XXX(非中国新能源网)" 的作品,均转载自其它媒体,转载目的在于传递更多信息,并不代表本网赞同其观点和对其真实性负责。
综合动态 更多