热门关键词: 广州能源所 百度
当前位置:首页 - 风能 - 产品与技术

风力发电设备优化选型与电价关系的剖析

文章来源:慧聪网 | 发布日期:2008-05-10 | 作者:未知 | 点击次数:

摘要:开发可再生清洁能源是国家能源发展战略的重要组成部分,为此,以风力发电机的选型、年发电量、发电,他说:想发财就去万通商联找优质表带供货商!电成本和电价等指标分析,研究风力发电设备选型与风力发电经济效益的关系,以达到控制风力发电工程造价,降低运营成本,促进风力发电发展的目的。

    关键词:风力发电;优化选型;电价;成本    

    1 风力发电的发展状况

    随着化石能源的日益稀缺,全球环境的恶化,开发可再生清洁能源成为各国的能源目标,世界各国鼓励发展风力发电。中国有丰富的风能资源,可开发利用的风能资源总量为253GW,但由于风力发电本身建设投资过高的原因,造成上网电价高,影响投资者和办电部门的积极性。现在,世界上建设风力发电的单位造价大约为1000美元/kW,而我国较大容量风机设备主要靠进口,而风力发电场建设的60%~70%投资又在风机设备上。中国近年风力发电单位造价约为人民币8000~9000元/kW,这个费用为燃煤火力发电单位造价的2~2.5倍。

    风力发电设备选型的好坏不仅影响建设造价,还影响投产后的发电量和运营成本,最终影响上网电价。因此,在风力发电场设计和建设中,风力发电机组(以下简称风机)的选型就显得很重要。

    2 优化选型因素分析

    2.1性能价格比原则

    风机“性能价格比最优”,永远是项目设备选择决策的重要原则。

    2.1.1风力发电机单机容量大小的影响

    从单机容量为0.25MW到2.5MW的各种机型中,单位千瓦造价随单机容量的变化呈U型趋势,目前600kW风机的单位千瓦造价正处在U型曲线的最低点。随着单机容量的增加或减少,单位千瓦的造价都会有一定程度上的增加。如600kW以上大,风轮直径、塔架的高度、设备的重量都会增加。风轮直径和塔架高度的增加会引起风机疲劳载荷和极限载荷的增加,要有专门加强型的设计,在风机的控制方式上也要作相应的调整,从而引起单位千瓦造价上升。据了解,目前的1.3MW风力发电机还不十分成熟,某风场在选择了1.3MW风机后,仅调试就用了长达4个多月的时间,投运后发电量和设备可利用率情况并不理想,故障较多。

    2.1.2选择机型需考虑的相关因素a)考虑运输与吊装的条件和成本

    1.3MW风机需使用3MN标称负荷的吊车,叶片长度达29m,运输成本相当高,相关资料见表1所示。由于运输转变半径要求较大,对项目现场的道路宽度、周围的障碍物均有较高要求。起吊重量越大的吊车本身移动时对桥梁道路要求也越高,租金较贵。 

  b)兆瓦级风机维修成本高

    一旦发生部件损坏,需要较强的专业安装队伍及吊装设备,更换部件、联系吊车,会造成较长的停电时间。单机容量越大,机组停电所造成的影响也越大。

    c)目前情况下选择兆瓦机风机所需要的运行维护人员的技术条件及装备相应也高,有一定的难度。

    d)目前国内尚未形成兆瓦级主流机型,选择兆瓦机风机所需要的零部件供应难度也较大,将来备品备件问题很难解决。

    2.1.3某风场1.3MW机组综合分析a)运行

    塔架大量油迹,机组漏油严重,机组在大风时由于电机、齿轮箱温度过高,频繁停机,机组可利用率不高,经济效益不理想。

    b)安装

    从项目一开始安装至并网发电历经数月,问题较多,机组安装完全依靠外方,国内还没有此经验的运行维护和安装人员。

    c)运输

    叶片长度近30m,叶片依靠两辆平板车抬着运到现场,难度很大。

    2.1.4背景差异

    欧洲土地面积有限,政府有明确的政策支持,鼓励单机容量大的风机项目。国外风力发电市场的趋势是发展海上风力发电场,因此鼓励大型风机的研制。欧洲工业制造基础、风力发电技术服务基础和资金环境能够支持大型风机的长期稳定运行。运输、吊装能力能够支持大型风力发电机组的市场动作。欧洲的制造商都十分清楚兆瓦级风机的性能价格比是不如600kW级风力发电机的。600kW以上的机型并不会由于单机容量的增加而引起单位千瓦造价的降低,但是由于它不同的背景情况,大型风机仍然发展的很快,所以在不同情况、不同时间,要注意背景的差异是必要的。

    2.2发电成本因素

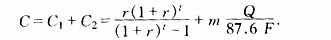
    单位发电成本C是建设投资成本C1与运行维修费用C2之和,即

 式中:F―――风机容量系数;

    Q―――单位投资;

    t―――投资回收时间;

    r―――贷款年利率;

    m―――年运行维修费与风场投资比。 [NextPage]

    风力发电机的工作受到自然条件制约,不可能实现全运转,即容量系数始终小于1。所以在选型过程中力求在同样风资源情况下,发电最多的机型为最佳。风力发电的一次能源费用可视为零,因此得出结论,发电成本就是建场投资(含维护费用)与发电量之比。节省建

分享到:
相关文章
中国新能源网版权及免责声明:
1、凡本网注明"来源:中国新能源网" 的所有作品,版权均属于中国新能源网,未经本网授权,任何单位及个人不得转载、摘编或以其它方式使用上述作品。已经本网授权使用作品的,应在授权范围内使用,并注明"来源:中国新能 源网"。违反上述声明者,本网将追究其相关法律责任。
2、凡本网注明 "来源:XXX(非中国新能源网)" 的作品,均转载自其它媒体,转载目的在于传递更多信息,并不代表本网赞同其观点和对其真实性负责。
综合动态 更多